Electrostatics
F=4πε01r122q1q2r^∮E⋅dA=ε0QenclVB−VA=−∫ABE⋅dℓ⇀V(r)=4πε01rq
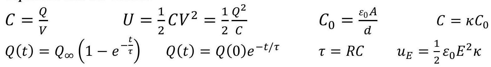
Capacitors and RC Circuits

Simple Circuits
V=IRR=AρLP=IV=I2R
Magnetism, Induction and RL Circuits
F=qE+qv×BdF=Idℓ×BdB=4πμ0r2Idℓ×r^
μ=NIA
τ=μ×B
U=−μ⋅B
B=μ0nI
ε=−dtdΦBΦB=∫B⋅dA⇀ΦL=LdtdI
UL=21LI2I(t)=I(∞)(1−e−t/τ)I(t)=I(0)e−t/ττ=RL
uB=21μ0B2∮B⋅dℓ=μ0I+μ0IDID=ε0dtdΦE
Electromagnetic Waves
E=E1cos(kx−ωt+ϕ);ω=2πf;v=fλ=kω;v=nc;k=λ2π.
E=cBu=ε0E2S=μ0E×Bf′=f1∓v/c1±v/cf′≈f(1±cv)
Geometric Optics
n1sinθ1=n2sinθ2sinθc=n1n2tanθB=n1n2
s1+s′1=f1M=−ss′f1=(n−1)(R11−R21)f=2R
Wave Optics
Resolution limited by a circular aperture: θ=D1.22λ
Constants
k=8.99×109C2N⋅m2ε0=8.85×10−12 N⋅m2C2μ0=4π×10−7AT⋅m
c=ε0μ01=3.0×108 m/se=1.60×10−19Cme=9.11×10−31 kg g=9.81 m/s2
Circle: Circumference =2πR, Area =πR2
Sphere: Area =4πR2, Volume =34πR3
Basic Integrals
(1) ∫xndx=n+11xn+1,n=−1
∫sec2xdx=tanx(11)
∫x1dx=ln∣x∣(2)
(3) ∫udv=uv−∫vdu
(4)
∫exdx=ex∫axdx=lna1ax∫lnxdx=xlnx−x (6) ∫sinxdx=−cosx (8) ∫tanxdx=sinx (9) ∫secxdx=ln∣secx+tanx∣(14)(5)

(15) ∫a2−x21dx=sin−1ax

(16) ∫xx2−a2adx=sec−1ax

(17) ∫x2−a21dx=cosh−1ax =ln(x+x2−a2)


∫a2−x2adx=21lnx−ax+a